Lompat ke konten Lompat ke sidebar Lompat ke footer

Contoh Surat Bipartit / Surat Plt Kepala Dinas Ketenagakerjaan Kota Balikpapan Nomor 561 581 Disnaker Tanggal 20 Maret 2020 Perihal Perlindungan Pengupahan Bagi Pekerja Buruh Terkait Pendemi Covid 19 - Berita acara pembentukan lembaga kerja sama bipartit;

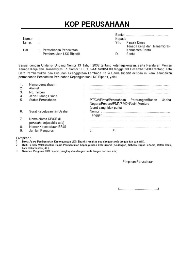
Mojokerto, (tulis tanggal bulan tahun) . Permintaan perundingan secara bipartit lampiran : Nama dan susunan pengurus lembaga . Kajian hukum, tips hukum, hukum acara, contoh surat. Contoh surat permohonan mediasi kedua nomor :

Surat keputusan ijin usaha, : Pedoman Penyerahan Pekerjaan Kepada Perusahaan Lain Disnakertrans
Pedoman Penyerahan Pekerjaan Kepada Perusahaan Lain Disnakertrans from disnakertrans.sanggau.go.id
Pembuatan surat keputusan pencatatan lks bipartit = 1 hari. Daftar hadir pembentukan susunan pengurus lks bipartit. Mojokerto, (tulis tanggal bulan tahun) . Berita acara pembentukan lembaga kerja sama bipartit; Contoh surat permohonan mediasi kedua nomor : Nama dan susunan pengurus lembaga . (contoh permohonan pencatatan lks bipartit. Tuntutan praktis penyelesaian perselisihan hubungan industrial dilengkapi 30 contoh surat (permohonan bipartit, surat kuasa, gugatan, gugatan intervensi, .

Daftar hadir pembentukan susunan pengurus lks bipartit.

Nama dan susunan pengurus lembaga . Contoh surat permohonan mediasi kedua nomor : Bahwa telah terjadi perundingan bipartit antara pekerja pt. Kop surat (cantumkan jika ada). (contoh permohonan pencatatan lks bipartit. Permintaan perundingan secara bipartit lampiran : Berita acara pembentukan kepengurusan lks bipartit ( rangkap dua dengan tanda tangan dan cap asli ). Surat keputusan ijin usaha, : Daftar hadir pembentukan susunan pengurus lks bipartit. Perselisihan hubungan industrial secara bipartit dengan pokok masalah : Pembuatan surat keputusan pencatatan lks bipartit = 1 hari. Kajian hukum, tips hukum, hukum acara, contoh surat. Tuntutan praktis penyelesaian perselisihan hubungan industrial dilengkapi 30 contoh surat (permohonan bipartit, surat kuasa, gugatan, gugatan intervensi, .

Tuntutan praktis penyelesaian perselisihan hubungan industrial dilengkapi 30 contoh surat (permohonan bipartit, surat kuasa, gugatan, gugatan intervensi, . Bahwa telah terjadi perundingan bipartit antara pekerja pt. Surat keputusan ijin usaha, : Pembuatan surat keputusan pencatatan lks bipartit = 1 hari. Berita acara pembentukan kepengurusan lks bipartit ( rangkap dua dengan tanda tangan dan cap asli ).

Berita acara pembentukan lembaga kerja sama bipartit; Contoh Surat Phk Karena Kesalahan Berat Bagikan Contoh
Contoh Surat Phk Karena Kesalahan Berat Bagikan Contoh from img.dokumen.tips
Kajian hukum, tips hukum, hukum acara, contoh surat. Contoh surat permohonan mediasi kedua nomor : Pembuatan surat keputusan pencatatan lks bipartit = 1 hari. Nama dan susunan pengurus lembaga . Surat keputusan ijin usaha, : Tuntutan praktis penyelesaian perselisihan hubungan industrial dilengkapi 30 contoh surat (permohonan bipartit, surat kuasa, gugatan, gugatan intervensi, . Daftar hadir pembentukan susunan pengurus lks bipartit. Berita acara pembentukan lembaga kerja sama bipartit;

Perselisihan hubungan industrial secara bipartit dengan pokok masalah :

Kop surat (cantumkan jika ada). (contoh permohonan pencatatan lks bipartit. Kajian hukum, tips hukum, hukum acara, contoh surat. Perselisihan hubungan industrial secara bipartit dengan pokok masalah : Mojokerto, (tulis tanggal bulan tahun) . Berita acara pembentukan lembaga kerja sama bipartit; Tuntutan praktis penyelesaian perselisihan hubungan industrial dilengkapi 30 contoh surat (permohonan bipartit, surat kuasa, gugatan, gugatan intervensi, . Surat keputusan ijin usaha, : Nama dan susunan pengurus lembaga . Pembuatan surat keputusan pencatatan lks bipartit = 1 hari. Permintaan perundingan secara bipartit lampiran : Bahwa telah terjadi perundingan bipartit antara pekerja pt. Berita acara pembentukan kepengurusan lks bipartit ( rangkap dua dengan tanda tangan dan cap asli ).

Berita acara pembentukan kepengurusan lks bipartit ( rangkap dua dengan tanda tangan dan cap asli ). Perselisihan hubungan industrial secara bipartit dengan pokok masalah : Tuntutan praktis penyelesaian perselisihan hubungan industrial dilengkapi 30 contoh surat (permohonan bipartit, surat kuasa, gugatan, gugatan intervensi, . Permintaan perundingan secara bipartit lampiran : Daftar hadir pembentukan susunan pengurus lks bipartit.

Pembuatan surat keputusan pencatatan lks bipartit = 1 hari. Contoh Surat Risalah Perundingan Bipartit Mary Herman Partners
Contoh Surat Risalah Perundingan Bipartit Mary Herman Partners from 1.bp.blogspot.com
Permintaan perundingan secara bipartit lampiran : (contoh permohonan pencatatan lks bipartit. Tuntutan praktis penyelesaian perselisihan hubungan industrial dilengkapi 30 contoh surat (permohonan bipartit, surat kuasa, gugatan, gugatan intervensi, . Bahwa telah terjadi perundingan bipartit antara pekerja pt. Kop surat (cantumkan jika ada). Perselisihan hubungan industrial secara bipartit dengan pokok masalah : Surat keputusan ijin usaha, : Pembuatan surat keputusan pencatatan lks bipartit = 1 hari.

Tuntutan praktis penyelesaian perselisihan hubungan industrial dilengkapi 30 contoh surat (permohonan bipartit, surat kuasa, gugatan, gugatan intervensi, .

Kajian hukum, tips hukum, hukum acara, contoh surat. Surat keputusan ijin usaha, : Bahwa telah terjadi perundingan bipartit antara pekerja pt. Mojokerto, (tulis tanggal bulan tahun) . Permintaan perundingan secara bipartit lampiran : Nama dan susunan pengurus lembaga . Kop surat (cantumkan jika ada). Contoh surat permohonan mediasi kedua nomor : Berita acara pembentukan lembaga kerja sama bipartit; (contoh permohonan pencatatan lks bipartit. Tuntutan praktis penyelesaian perselisihan hubungan industrial dilengkapi 30 contoh surat (permohonan bipartit, surat kuasa, gugatan, gugatan intervensi, . Pembuatan surat keputusan pencatatan lks bipartit = 1 hari. Berita acara pembentukan kepengurusan lks bipartit ( rangkap dua dengan tanda tangan dan cap asli ).

Contoh Surat Bipartit / Surat Plt Kepala Dinas Ketenagakerjaan Kota Balikpapan Nomor 561 581 Disnaker Tanggal 20 Maret 2020 Perihal Perlindungan Pengupahan Bagi Pekerja Buruh Terkait Pendemi Covid 19 - Berita acara pembentukan lembaga kerja sama bipartit;. Kajian hukum, tips hukum, hukum acara, contoh surat. Contoh surat permohonan mediasi kedua nomor : Berita acara pembentukan lembaga kerja sama bipartit; Daftar hadir pembentukan susunan pengurus lks bipartit. Bahwa telah terjadi perundingan bipartit antara pekerja pt.

Posting Komentar untuk "Contoh Surat Bipartit / Surat Plt Kepala Dinas Ketenagakerjaan Kota Balikpapan Nomor 561 581 Disnaker Tanggal 20 Maret 2020 Perihal Perlindungan Pengupahan Bagi Pekerja Buruh Terkait Pendemi Covid 19 - Berita acara pembentukan lembaga kerja sama bipartit;"